
Spacer
Spacer
Spacers are an indispensable component of oligonucleotide synthesis, serving to create a separation between the nucleotide sequence and functional groups. This enhances probe flexibility, reduces steric hindrance, and improves solubility. Our range of spacers offers the ideal solution for a variety of research and diagnostic applications, providing the precision and effectiveness required for optimal oligo customisation.
Modifications
Structure Change
Benefits
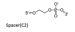
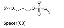
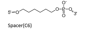
Spacer(C2), Spacer(C3),
Spacer(C6), Spacer(C12)
They add hydrophobic distance between the oligo and a modifier or between different parts of the oligonucleotide.
It provides flexibility and reduces steric hindrance. It can be used at the 3′-end as a blocker of exonuclease and polymerase activity (e.g., C-3 spacer).




Modifications
Structure Change
Benefits
Spacer9(TEG/PEG4),
Spacer18(HEG/PEG6)
Introduces longer, hydrophilic spacer arms
Improves solubility and reduces non-specific interactions, also used for increasing distance to labels or other functional groups.


Modifications
Structure Change
Benefits
dSpacer (Abasic, DNA)
It introduces a stable abasic site within an oligonucleotide
This modification can be incorporated internally or at the 5′ end, preserving the natural sugar-phosphate backbone structure.
rev-dSpacer (Abasic, DNA)
It is an inverted orientation of the standard dSpacer (1′,2′-Dideoxyribose)
It offers protection against exonucleases. In siRNA, it improves the stability of passenger strands when added to both 5′ and 3′ ends while maintaining gene silencing efficiency. It also provides similar stability enhancement as inverted dT modifications.
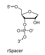
rSpacer (Abasic, RNA)
It contains a methylene group at the 1-position of 2′-ribose and mimics naturally occurring abasic sites in RNA.
It can be incorporated internally or at the 5′ end, preserving the natural sugar-phosphate backbone structure.



We are hiring
Are you ready to combine science with creativity? At Ella Biotech, you’ll join a close-knit team dedicated to advancing the life sciences. You’ll find a vibrant, respectful workplace where teamwork drives innovation and fun is always part of the mix.
Bring your talents to our team where every day is an exciting opportunity to make a difference in biotechnology and advance discovery. Let’s create the building blocks of tomorrow – together!

Contact us
„*“ zeigt erforderliche Felder an
