
Degenerate Bases
Degenerate Bases
In oligonucleotide synthesis, the incorporation of degenerate bases, or „wobbles,“ introduces controlled sequence variability at specific positions. This process, called „degeneration,“ allows the creation of oligonucleotides with mixed or variable sequences, enabling a single oligo to address multiple similar genetic targets. Degeneration provides flexibility in PCR primer design, SNP detection, and genetic variation studies. Synthesized through nucleotide mixtures, this technique increases the tolerance and adaptability of oligonucleotides in molecular diagnostics and research.
At Ella Biotech, we offer all range of standard wobbles for different combinations: for example, „K“ represents a mixture of Guanine (G) and Thymine (T), „M“ combines Adenine (A) and Cytosine (C), and „R“ includes Adenine (A) and Guanine (G). For more complex applications, wider degeneracy options such as „N“ (A/G/C/T) can be used.
Wobbles: K (G/T), M (A/C), R (A/G), S (G/C), W (A/T), Y (C/T), B (G/C/T), D (A/G/T), H (A/C/T), V (A/G/C), N (A/G/C/T)
In addition, custom wobble compositions, such as 80% Adenine (A) and 20% Guanine (G), allow for customised nucleotide ratios to meet specific experimental needs.
These wobbles are also compatible with alternative backbones such as Locked Nucleic Acids (LNA) and 2′-O-Methyl RNA, providing researchers with the flexibility to incorporate degeneration modifications into a variety of oligonucleotide chemistries.
In addition to standard wobbles, we also offer degenerate bases designed to increase oligonucleotide flexibility by pairing with multiple bases. For example, the degenerate base dK can pair with Cytosine (C) and Thymine (T), while dP complements Adenine (A) and Guanine (G). Another versatile option is Inosine (dI), which pairs with all four bases (A, G, C, and T), making it ideal for applications requiring base pairing versatility.
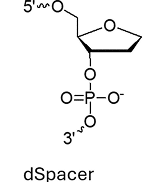
We also provide abasic positions such as dSpacer, which leaves a gap in the sequence and can be used to mimic natural DNA damage or to study structural changes in oligos. These specialized options, along with our selection of wobbles, provide scientists with greater control over sequence flexibility and target binding in complex experimental designs.
Wobble Composition
K (G/T), M (A/C), R (A/G), S (G/C), W (A/T), Y (C/T), B (G/C/T), D (A/G/T), H (A/C/T), V (A/G/C), N (A/G/C/T)
Custom Wobble Composition
e.g. 80% dA, and 20 % dG
Wobble with backbone modification
LNA, 2’O-Methyl …etc.
Degenerated Bases
dK (pairs with C and T), dP (pairs with A and G), dI (Inosine, pairs with A, G, C and T)
Abasic Positions
e.g. dSpacer
For more information on codon randomization, please visit our TRImer Oligo page.





We are hiring
Are you ready to combine science with creativity? At Ella Biotech, you’ll join a close-knit team dedicated to advancing the life sciences. You’ll find a vibrant, respectful workplace where teamwork drives innovation and fun is always part of the mix.
Bring your talents to our team where every day is an exciting opportunity to make a difference in biotechnology and advance discovery. Let’s create the building blocks of tomorrow – together!

Contact us
„*“ zeigt erforderliche Felder an
