
Amino Modifier
Amino Modifier
Amino modifiers play a critical role in oligonucleotide synthesis, allowing the attachment of various functional molecules such as dyes, biotin, and affinity tags through post-synthetic labeling. These modifications can be introduced at the 5′ or 3′ ends as well as internally, providing flexible customization options to enhance binding affinity, imaging capabilities, and targeted delivery. By extending the functionality of oligonucleotides, amino modifiers provide a reliable and cost-effective solution for a wide range of applications in research, diagnostics and therapeutics.
5' Modifications
Structure Change
Benefits
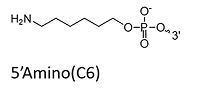
Amino(C3) , Amino(C6), Amino(C7)
Amino(C12)
Provides linkers of varying length for attaching different molecules
Reduces steric hindrance and improves conjugation efficiency, providing greater flexibility in labeling strategies
Abasic Amine
Introduces an amino group without a nucleobase
Minimizes interference with base pairing and is useful for applications requiring a neutral spacer
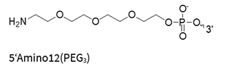
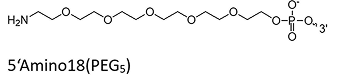
Amino6 (PEG1), Amino12(PEG3), Amino18(PEG5)
Incorporates polyethylene glycol (PEG) spacers
This modification can improve water solubility and reduce non-specific interactions








Internal Modifications
Structure Change
Benefits
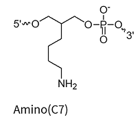
Amino(C7)
Provides linkers of varying length for attaching different molecules
These internal modifications allow site-specific labeling within the oligo sequence and minimize disruption of the overall structure
Abasic Amine
Introduces an amino group without a nucleobase
These internal modifications allow site-specific labeling within the oligo sequence and minimize disruption of the overall structure
Amino-C6-dA/dG/dC/dT
Introduces amino groups on specific nucleobases
Provides base-specific labeling options and versatility in designing complex probes
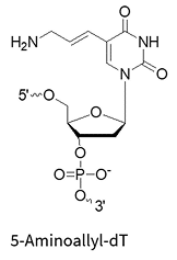
Amino-C2-dT, Aminoallyl-dT
Offers shorter linkers on thymine bases
This modification has minimal impact on duplex stability, and is useful for applications that require close proximity to the DNA backbone








3' Modifications
Structure Change
Benefits
Amino(C6), Amino(C7)
Provides linkers of varying length for attaching different molecules
This modification reduces steric hindrance and improves conjugation efficiency, providing greater flexibility in labeling strategies. It also protects against exonuclease degradation.
Abasic Amine
Introduces an amino group without a nucleobase
Minimizes interference with base pairing and is useful for applications requiring a neutral spacer. It also protects against exonuclease degradation.



We are hiring
Are you ready to combine science with creativity? At Ella Biotech, you’ll join a close-knit team dedicated to advancing the life sciences. You’ll find a vibrant, respectful workplace where teamwork drives innovation and fun is always part of the mix.
Bring your talents to our team where every day is an exciting opportunity to make a difference in biotechnology and advance discovery. Let’s create the building blocks of tomorrow – together!

Contact us
„*“ zeigt erforderliche Felder an
